Skip to content
RMS_WeibullGraph_2688x700 RMS_WeibullGraph_2688x700 RMS_WeibullGraph_1528x700
METHODS

Reliability assessment of technical ceramics with the Weibull modulus

The Weibull modulus describes the scattering of the mechanical strength of technical ceramics. It is determined by destructive bending tests and statistically analyzed using the Weibull distribution in order to estimate the reliability of the samples.

While ductile material usually follows a normal distribution of strength, the Weibull distribution describes the fracture behavior of brittle materials such as technical ceramics, in which a fracture is triggered by microdefects and inhomogeneities.

A high Weibull modulus - as required by ISO 13356 with ≥ 8, for example - indicates a low scattering of strength and stable manufacturing processes. A low modulus, on the other hand, indicates greater fluctuations and therefore lower reliability.

According to which standards do we test?

Whenever possible, we carry out our testing services in accordance with or based on these international standards:

  • ISO 20501
  • ISO 13356

Which devices do we use?

  • ZwickRoell 1475 universal testing machine / force range up to 100 kN
  • Minitab software

What you should know about this method?

What is the Weibull modulus and what does it mean?

The Weibull modulus is a measure of the scattering of strength values in brittle materials, particularly in technical ceramics. While ductile materials typically exhibit a normal distribution of strength, the fracture behavior of brittle materials generally follows a Weibull distribution.

The reason for this lies in the microstructural nature of ceramic materials: fracture is primarily triggered by microdefects and inhomogeneities. According to the Weakest-Link model, the weakest point in the material leads to the failure of the entire structure.

A high Weibull modulus - as required by ISO 13356, for example, with a minimum value of 8 - indicates a low scattering of strength values. This means that the defects are more evenly distributed and the manufacturing processes were constant and stable. A low Weibull modulus, on the other hand, indicates large fluctuations in the distribution of defects, which significantly reduces the reliability of the material

In accordance with ISO 13356, 4-point bending tests are carried out to determine the Weibull modulus in accordance with ISO 14704.

Why is the average value of the specific strengths not sufficient to compare two batches with each other?

The mean value of the flexural strength alone provides only limited information about the quality and reliability of a batch. Two batches may have the same mean value, but differ considerably in the scatter of their strength values. This scatter cannot be adequately described by the standard deviation because the strength of ceramic samples does not follow the normal distribution but the Weibull distribution.

How many samples are necessary to obtain meaningful results?

For reliable Weibull statistics, we recommend testing at least 30 samples - this is also the minimum number recommended in the ISO 20501 standard. Using fewer or more samples reduces or increases the statistical significance of the tests.

What do I get as a customer after the bending test and the calculation?
  • The Weibull modulus calculated correctly according to the standard
  • The values also required by the standard (ISO 13356): the Weibull characteristic strength, the 90% confidence interval for the Weibull modulus and the characteristic Weibull strength, the unbiasing factor and the "unbiased estimate of the Weibull modulus". 
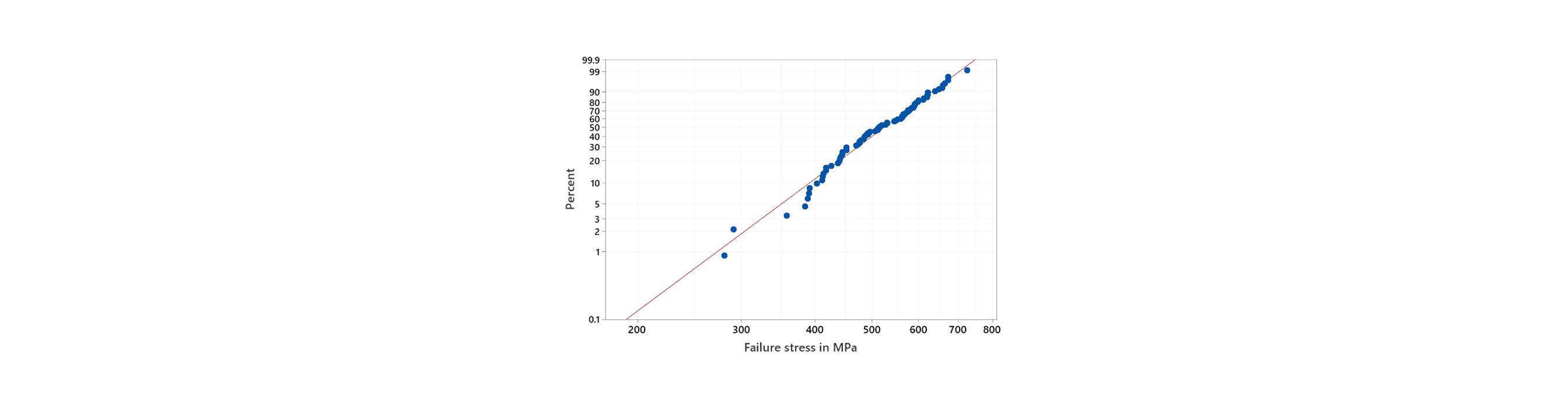
  • The Weibull diagram

 

Are the analyses accredited?

Yes, the determination of the Weibull module is validated by us and accredited in accordance with ISO/IEC 17025.

Stefan_Jakobs_1850x1234

Who is your contact person?

Stefan Jakobs
Team Leader Bio- & Structural Mechanics
+41 32 644 2033